How Do You Find Roots Of An Equation - To find other roots, you'll use the custom button that lets you pick your root.

How Do You Find Roots Of An Equation - To find other roots, you'll use the custom button that lets you pick your root.. Α β = product of roots. We have to consider the roots as α and β. For a simple linear function, this is very easy. Let ax³ + bx² + cx + d = 0 be any cubic equation and α,β,γ are roots. So there are four roots, α, − α, β, − β.

Calculate the roots of quadratic equation using the proper formulae. If you don't see a button like this, it may be located in the menu of one of the function keys. To solve for, you need to isolate it to one side of the equation. Α + β = sum of roots. Then, there is a theorem which helps to find rational roots:

The Sum And Product Of The Roots Of A Cubic Equation
The Sum And Product Of The Roots Of A Cubic Equation from www.myqbook.com
Suppose the given polynomial is f (x)=2x+1 and we have to find the zero of the polynomial. By the intermediate value theorem, each sign variation gives you at least one root in that interval. I expect that the correct equation is x 3 − 12 x + 2 = 0, which does have three roots in − 4, 4 because f (− 4) < 0, f (0) > 0, f (1) < 0, f (4) > 0. Example 1:find the roots of the equation To find other roots, you'll use the custom button that lets you pick your root. To find the roots of the equation, we used np.roots passing the coefficients as the parameter. Consider the quadratic equation a real number xwill be called a solution or a root if it satisfies the equation, meaning. In a cubic equation, the highest exponent is 3, the equation has 3 solutions/roots, and the equation itself takes the form + + + =.

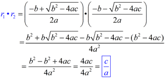
Sum and product of the roots of a quadratic equation.

Input p is a vector containing n+1 polynomial coefficients, starting with the coefficient of xn. A coefficient of 0 indicates an intermediate power that is not present in the equation. We learned on the previous page (the quadratic formula), in general there are two roots for any quadratic equation `ax^2+ bx + c = 0`.let's denote those roots `alpha` and `beta`, as follows: One learns about the factor theorem, typically in a second course on algebra, as a way to find all roots that are rational numbers. We have to consider the roots as α and β. This polynomial is considered to have two roots, both equal to 3. What is a quadratic function called? For a function, f (x) f (x), the roots are the values of x for which f (x) = 0 f (x) = 0. Example 1:find the roots of the equation To apply the quadratic formula the quadratic equation must be equal to zero. A root is a value for which a given function equals zero. By the intermediate value theorem, each sign variation gives you at least one root in that interval. In a cubic equation, the highest exponent is 3, the equation has 3 solutions/roots, and the equation itself takes the form + + + =.

Indicate the user to enter the coefficients of the quadratic equation by displaying suitable sentences using printf() function. In a cubic equation, the highest exponent is 3, the equation has 3 solutions/roots, and the equation itself takes the form + + + =. For a function, f (x) f (x), the roots are the values of x for which f (x) = 0 f (x) = 0. A x 2 + b x + c = 0 and a x 2 − b x + c = 0. You can subtract the from the right to the left.

If 2 Is A Root Of The Equation X 2 B X 12 0 And The Equati
If 2 Is A Root Of The Equation X 2 B X 12 0 And The Equati from doubtnut-static.s.llnwi.net
A quadratic equation is an equation where the highest exponent of any variable is 2: Each rational roots has the form `p / q ` where `p ` is an integer factor of `a_0 ` and `q ` is an integer factor of `a_n. We have to consider the roots as α and β. Wait for user to press a key using getch() function. If you square a positive number, like '2', you get '4' (positive). From this roots we can find the quadratic polynomial. You can subtract the from the right to the left. Input p is a vector containing n+1 polynomial coefficients, starting with the coefficient of xn.

A x 2 + b x + c = 0 and a x 2 − b x + c = 0.

Since squaring a quantity and taking a square root are 'opposite' operations, we will square both sides in order to remove the radical sign and solve for the variable inside. In a cubic equation, the highest exponent is 3, the equation has 3 solutions/roots, and the equation itself takes the form + + + =. Therefore, to find the roots of a quadratic function, we set f (x) = 0, and solve the equation, ax2 + bx + c = 0. Then, there is a theorem which helps to find rational roots: One root of the equation is :, then another root will be. The roots of an equation are the roots of a function. X 5 + 8.5x 4 + 10x 3 − 37.5x 2 − 36x + 54 = 0. Calculate the roots of quadratic equation using the proper formulae. One also learns how to find roots of all quadratic polynomials, using square roots (arising from the discriminant) when necessary. By the intermediate value theorem, each sign variation gives you at least one root in that interval. Most of the time, we write a quadratic equation in the form ax2 + bx + c = 0, and the values of x that make the. Np is the alias name of numpy. Wait for user to press a key using getch() function.

Wait for user to press a key using getch() function. By the intermediate value theorem, each sign variation gives you at least one root in that interval. One learns about the factor theorem, typically in a second course on algebra, as a way to find all roots that are rational numbers. To find other roots, you'll use the custom button that lets you pick your root. If you square a positive number, like '2', you get '4' (positive).

1
1 from
P is the list having the coefficients. To apply the quadratic formula the quadratic equation must be equal to zero. So when you want to find the roots of a function you have to set the function equal to zero. Then, there is a theorem which helps to find rational roots: The solutions to this equation are the solutions to any of the equations : Since squaring a quantity and taking a square root are 'opposite' operations, we will square both sides in order to remove the radical sign and solve for the variable inside. Indicate the user to enter the coefficients of the quadratic equation by displaying suitable sentences using printf() function. A quadratic equation is an equation where the highest exponent of any variable is 2:

If you square a positive number, like '2', you get '4' (positive).

Wait for user to press a key using getch() function. Therefore, to find the roots of a quadratic function, we set f (x) = 0, and solve the equation, ax2 + bx + c = 0. One root of the equation is :, then another root will be. I expect that the correct equation is x 3 − 12 x + 2 = 0, which does have three roots in − 4, 4 because f (− 4) < 0, f (0) > 0, f (1) < 0, f (4) > 0. This polynomial is considered to have two roots, both equal to 3. The roots of a function are the points on which the value of the function is equal to zero. I try to find the roots of the trigonometric equation below between 0 and 2*pi, but i have a logaritmic expression as an answer. By the intermediate value theorem, each sign variation gives you at least one root in that interval. As usual, in solving these equations, what we do to one side of an equation we must do to the other side as well. What is a quadratic function called? You can subtract the from the right to the left. A quadratic equation is an equation where the highest exponent of any variable is 2: So if you take the square root of a '4' you always get a '2' back.

To use the numpy library in python, we need to import it how do you root. We learned on the previous page (the quadratic formula), in general there are two roots for any quadratic equation `ax^2+ bx + c = 0`.let's denote those roots `alpha` and `beta`, as follows:

Posting Komentar

Lebih baru Lebih lama

Facebook